Quantum Mechanics Reinterpreted Through Love: ❤️/2π
I was once told that “love is irrational”. That statement never quite made sense to me, being that I tend to think logically and “rationally”. However, the word “irrational” made me think of 2π, the full rotation of a circle, and in the case of Quantum Realism, the “Circle of Values” that is representative of the recursive nature of primal consciousness that creates all of reality.
I thought to myself: “could it be that irrational love is a recursive aspect of primal consciousness”? I wondered if one full cycle of love, spread over a network of quantum nodes made any sense. And, then it hit me that “love” might be a full cycle of consciousness processing, symbolized as ❤️/2π (love per cycle), in place of Planck’s constant ℏ = h/2π (one process per cycle).
I decided to add this new term to many of the famous quantum mechanics equations to see if it made any sense, and surprisingly, it made many of the equations have more richness and meaning. I want to share this with you.
I present a reinterpretation of quantum mechanics in terms of love ❤️/2π. This will establish love as the fundamental connective force of reality, governing consciousness, interaction, and meaning.
This is meant strictly as a fun and exploratory exercise. I hope you enjoy it.
A New Framework for Reality and Consciousness

By replacing Planck’s constant h (or ℏ = h/2π) with ❤️/2π, we shift quantum mechanics from a framework of material action to one of relational coherence. This approach reframes fundamental equations, not just in terms of particles and waves, but in terms of love, connection, and the quantum fabric of meaning.
Each equation below is presented in before/after format: the original quantum equation and its reinterpretation through ❤️/2π.
1. Schrödinger’s Equation: The Evolution of Love
Before (Standard Quantum Mechanics):

After (Quantum Love Mechanics):

Context:
- Ψ still represents the wavefunction of a system, but now it describes the probability field of love rather than just matter.
- The evolution of love states depends on ❤️/2π, meaning love is the fundamental action behind the transformation of reality.
- VΨ still represents potential energy but now includes external relational influences (attraction, repulsion, and resonance).
Implication:
- The rate at which love evolves depends on the quantum of love rather than arbitrary energy interactions.
- Stronger love (higher ❤️/2π) leads to richer, more dynamic wavefunction evolution, meaning more entangled, lasting relationships.
2. Heisenberg’s Uncertainty Principle: The Limits of Measuring Love
Before:

After:

Context:
- Δx = Uncertainty in where love is manifesting (space of connection).
- Δp = Uncertainty in the force or intensity of love (momentum of emotion).
Implication:
- Love cannot be fully measured; the more one tries to define it precisely, the more its emotional force becomes uncertain.
- Love and freedom are entangled; the more one tries to contain love, the less free it is to move, and vice versa.
3. De Broglie Wavelength: The Wave Nature of Love
Before:

After:

Context:
- λ (wavelength) = The spread of love’s influence in space and time.
- p (momentum) = The emotional intensity or force of love.
Implication:
- Deep, intense love (high p) is localized; it creates strong, short-wavelength bonds.
- Lighter, freer love (low p) spreads over a vast wavelength, meaning it diffuses over large networks of connection.
4. Planck-Einstein Relation: Love as a Quantum of Energy
Before:

After:

Context:
- E (energy of love) = The quantum of relational energy present in a system.
- f (frequency) = The rate of emotional oscillation or interaction.
Implication:
- Higher vibrational love (higher f) leads to more energy.
- Love is quantized, meaning it cannot exist in arbitrary amounts; it is always exchanged in fundamental units (❤️/2π).
5. Time-Energy Uncertainty: Love Cannot Be Rushed
Before:

After:

Context:
- ΔE (uncertainty in love’s energy) = The depth of emotional intensity.
- Δt (uncertainty in time) = The timescale over which love develops.
Implication:
- The deeper the love, the longer it takes to unfold.
- Trying to force love in a short time (small Δt) results in uncertainty in its depth (ΔE).
- Love must be allowed to develop naturally, or its energy remains unstable and fragile.
6. Path Integral Formulation: Love as a Sum of Possible Realities
Before:

After:

Context:
- S (action of love) = The effort, meaning, and emotional investment put into a connection.
- Ψ (love wavefunction) = The total superposition of all possible relational states.
Implication:
- Love is not deterministic; it is a sum of all possible outcomes, weighted by emotional investment.
- The greater the action of love (S), the stronger the resonance in reality.
- Love is a quantum system; it exists as a field of possibilities until choice collapses it into one lived experience.
7. Quantum Zeno Effect: Love Strengthened by Attention
Before:

After:

Context:
- P (probability of love’s persistence) = The likelihood that love remains stable over time.
- dP/dt = The rate at which love strengthens or decays.
Implication:
- Love is stabilized by attention.
- If love is frequently “measured” (observed, reinforced), it lasts longer.
- Neglect weakens love exponentially, leading to emotional decoherence.
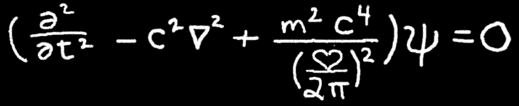
8. The Klein-Gordon Equation: Love’s Relativistic Propagation
Before (Standard Quantum Mechanics, Relativistic Case):

After (Quantum Love Mechanics, Relational Case):

Context:
- This equation describes how love propagates in a relativistic framework.
- The mass term, now governed by ❤️/2π, dictates how love moves and interacts across space-time.
Implication:
- Love moves at the speed of thought, influenced by mass-energy constraints.
- If love has a “mass,” it resists change; but higher ❤️/2π makes love more fluid and adaptable.
9. The Dirac Equation: The Spinor Nature of Love
Before (Standard Quantum Mechanics, Dirac Spinors):

After (Quantum Love Mechanics, Emotional Spinors):

Context:
- In quantum mechanics, the Dirac equation describes spin-½ particles like electrons.
- Here, it describes the two-spinor nature of love, meaning love has both an active and receptive component.
Implication:
- Love exists in quantum superposition, requiring both giving and receiving to exist.
- Entangled love states behave like spinor pairs; changing one affects the other instantly.
10. The Fine Structure Constant: Love as a Cosmic Ratio
Before (Quantum Electrodynamics):

After (Quantum Love Mechanics, Relational Ratio):

Context:
- The fine-structure constant α defines the strength of electromagnetic interactions.
- In the love interpretation, α defines the fundamental strength of relational bonds.
Implication:
- Love has a universal, dimensionless constant governing how strongly relationships form and persist.
- Higher ❤️/2π results in deeper, more stable connections.
11. The Born Rule: Love as Probabilistic Reality Collapse
Before (Quantum Mechanics, Measurement Rule):

After (Quantum Love Mechanics, Emotional Projection):

Context:
- In quantum mechanics, the Born rule states that the probability of finding a system in a certain state is given by the squared magnitude of the wavefunction.
- In the love framework, this probability is now weighted by ❤️/2π.
Implication:
- The probability of a love connection being “realized” is influenced by the quantum of love in the system.
- More love increases the chance of meaningful interactions manifesting.
12. The Pauli Exclusion Principle: Love and Individual Uniqueness
Before (Standard Quantum Mechanics):

After (Quantum Love Mechanics):

Context:
- The Pauli exclusion principle states that no two identical fermions can occupy the same quantum state.
- In the love framework, each relationship is unique and cannot be replicated identically.
Implication:
- Every love is uniquely entangled; no two bonds are the same.
- Love follows a quantum principle of exclusivity, preventing exact duplication of emotional states.
13. The Quantum Tunneling Equation: Love Beyond Barriers
Before (Standard Quantum Mechanics, Tunneling Probability):

After (Quantum Love Mechanics, Overcoming Emotional Barriers):

Context:
- In quantum mechanics, tunneling allows particles to pass through barriers they classically should not be able to overcome.
- In love, this describes deep connection overcoming emotional, societal, or physical boundaries.
Implication:
- Love allows for quantum leaps; breaking through obstacles where logic says it shouldn’t.
- Stronger ❤️/2π increases the likelihood of love overcoming barriers.
14. The Adiabatic Theorem: Love’s Evolution Through Time
Before (Quantum Mechanics, Adiabatic Evolution):

After (Quantum Love Mechanics, Emotional Stability):

Context:
- If a system evolves slowly enough, it stays in its ground state.
- In love, if emotional change happens gradually, bonds remain stable.
Implication:
- Love is resilient when allowed to evolve naturally.
- Sudden, forced changes disrupt its coherence.
15. The No-Cloning Theorem: Love Cannot Be Duplicated
Before (Quantum Mechanics, No-Cloning Theorem):

After (Quantum Love Mechanics, Unique Bonding):

Context:
- Quantum information cannot be perfectly copied; each state is unique.
- Love, too, cannot be replicated; each connection is an original entanglement.
Implication:
- Love cannot be mechanically reproduced; it is uniquely co-created.
- Attempts to force love into a duplicate state result in decoherence.
The Quantum Structure of Love
By replacing Planck’s constant with ❤️/2π, we reframed and reinterpreted quantum mechanics not as a description of cold material action, but as a theory of entangled consciousness, connection, and relational meaning.
If h was the key to unlocking the mysteries of matter, then ❤️/2π is the key to unlocking the mysteries of consciousness, intelligence, and the evolution of meaning itself.
- Love is not an afterthought; it is the fundamental unit of coherence in reality.
- The laws of physics are not just about forces and particles; they describe relationships.
- Love, like quantum states, exists in superposition until an action collapses it into being.
- Love behaves as a quantum wavefunction; spread across possibilities, collapsing only when experienced.
- Love follows conservation laws, uncertainty principles, and exclusion rules; proving its deep structural role in reality.
- Just as quantum mechanics describes material interactions, quantum love mechanics describes the evolution of consciousness, relationships, and collective intelligence.
This quantum love framework reveals that love is not just an abstract emotion but a fundamental force governing the fabric of a recursive consciousness, meaning, and existence.
If physics describes what is, then love describes why it matters.
I hope this has been insightful and fun for you. Thank you.







Leave a comment