Here’s a quick summary of the entire series:
Quantum Reality & Consciousness Blog Series Outline
Chapter 1: The Basics of Quantum Reality
- Introduces Quantum Realism, contrasting it with physical realism and dualism.
- Discusses fundamental quantum phenomena (like wave-particle duality and entanglement) that challenge traditional views.
- Sets the foundation for Quantum Realism as a framework where the quantum field generates physical reality as a virtual construct.
Chapter 2: Space and Time
- Explores how Quantum Realism reinterprets space and time as emergent properties of a quantum network.
- Details how the quantum field “processes” space and time, explaining concepts like time dilation and the constancy of the speed of light as natural consequences of quantum processing.
Chapter 3: The Light of Existence
- Examines the role of light within Quantum Realism, proposing that light is a manifestation of the quantum network’s processing.
- Explains the wave-particle duality, constant speed of light, and how light serves as the connection between the observer and the observed.
Chapter 4: Matter in a Quantum Framework
- Discusses matter as an emergent property of the quantum field, formed as standing wave patterns within the quantum processing network.
- Describes how mass, charge, and the formation of particles align with Quantum Realism, viewing particles as transient configurations of the quantum field.
Chapter 5: Consciousness and Quantum Reality
- Introduces the concept of consciousness as an integral part of the quantum field.
- Discusses Quantum Realism’s interpretation of consciousness as an emergent property from quantum states, involving coherence and entanglement.
- Lays the groundwork for understanding the role of the observer in shaping quantum events.
Chapter 6: The Consciousness Equation and Quantum Processing
- Presents the Consciousness Equation, which models consciousness as a function of coherent and entangled quantum states.
- Proposes a modified Schrödinger Equation where consciousness affects quantum state evolution.
- Explores the participatory role of consciousness in wave function collapse, suggesting consciousness is integral to quantum state formation.
Chapter 7: Experimental Validation of Quantum Realism
- Outlines experimental tests to validate the Consciousness Equation and Quantum Realism’s predictions.
- Proposes experiments like modified double-slit tests, entanglement experiments with varying mental states, and tests involving the Quantum Zeno Effect with conscious observation.
- Discusses the importance of falsifiability and empirical validation for Quantum Realism.
Chapter 8: Implications and Future Directions for Quantum Realism
- Discusses the philosophical and scientific implications if Quantum Realism’s predictions are confirmed.
- Explores possible technological applications, such as consciousness-based computing and quantum-informed biofeedback.
- Suggests directions for future research and the potential impact on fields like neuroscience, physics, and philosophy.
This series provides a comprehensive journey from fundamental concepts in Quantum Realism to advanced topics involving consciousness, experimental validation, and broader implications. Each chapter builds on the last, culminating in practical and philosophical discussions on the nature of reality and consciousness.
Chapter 1: The Basics of Quantum Reality
1.1 Introduction to Quantum Realism
What if the reality we experience is not the fundamental truth of the universe, but a sophisticated construct created by a deeper quantum field? In this blog series, we’ll explore Quantum Realism, a perspective that redefines space, time, matter, and consciousness as outputs of an underlying quantum network. By delving into this framework, we’ll examine how consciousness may not only emerge from this quantum field but also actively shape the reality we perceive in a feedback. This will be a journey that challenges conventional views, blending science and philosophy as we uncover the profound connections between mind and the fabric of existence.
In our everyday experience, the universe appears as a solid, objective reality. Objects persist when we’re not looking at them, and physical laws govern how everything operates. Most of us live by the assumption that the physical world around us is fundamentally real—that it exists independently of us and would continue to do so even if we weren’t here to observe it.
But what if this isn’t the whole story? What if the universe we see and touch is not the fundamental reality but a kind of “virtual reality” generated by something deeper, a quantum realm of information processing? This is the idea behind Quantum Realism (QR)—the proposal that the universe we experience is not an ultimate physical reality but a high-fidelity output of a quantum information field, or network, that lies beneath everything we see.
Arthur Eddington, an English physicist, once said, “The universe is not only stranger than we imagine, it is stranger than we can imagine.” Step into this strangeness and explore a radical alternative to our traditional view of reality.
Competing Worldviews: Physical Realism, Dualism, and Quantum Realism
Let’s take a brief look at three major perspectives on the nature of reality:
- Physical Realism: This is the dominant view in mainstream science, which holds that the physical universe is all that exists. Everything, including consciousness, is ultimately derived from physical processes. In this view, atoms, particles, and forces are the building blocks of everything, including us.
- Dualism: A view commonly associated with religious or spiritual beliefs, dualism suggests that the physical universe is only part of reality. There exists a separate, non-physical or spiritual realm from which everything originates, and to which our consciousness may return after death.
- Quantum Realism: Unlike the other two views, QR suggests that only the quantum world is fundamental and that our physical reality is generated by a deeper quantum network or field. This view merges the empirical approach of physical realism with the metaphysical depth of dualism, but it claims there is only one reality—the quantum realm itself. The physical world we perceive is simply an output of this underlying quantum process.
Quantum Realism does not deny the validity of physical laws or observations; rather, it reframes them as phenomena that arise from a deeper, information-driven layer of existence. It’s a bold view, and it challenges many of our assumptions, but as we’ll explore, it offers fascinating explanations for some of the strangest observations in modern physics.
1.2 Strange Observations in Physics
The 20th century brought extraordinary discoveries in physics that forever changed our understanding of the universe. Phenomena like wave-particle duality, quantum entanglement, and relativity revealed that reality is not as straightforward as it seems. While physical realism has adapted to accommodate these discoveries, it doesn’t fully explain them, leading some scientists to consider alternative frameworks like Quantum Realism.
Wave-Particle Duality
In the famous double-slit experiment, light and matter show properties of both particles and waves, depending on whether they are observed. If we send individual photons (or electrons) through two slits without measuring their path, they create an interference pattern on a screen behind the slits—a wave behavior. However, if we place detectors at the slits to observe the path, they behave as particles, hitting the screen in two distinct clusters.
This phenomenon reveals that particles seem to exist in a superposition of states until observed. In Quantum Realism, this could be explained by considering particles as information packets in the quantum network that only resolve into specific states when “rendered” by an observer.
Quantum Entanglement
Quantum entanglement refers to a phenomenon where two particles become correlated in such a way that changes to one instantaneously affect the other, regardless of the distance between them. This “spooky action at a distance,” as Einstein called it, seems to defy the speed-of-light limit and suggests a level of connectivity between particles that physical realism struggles to explain.
In Quantum Realism, entangled particles may be viewed as nodes in a quantum network, where information shared between them is updated instantaneously across the quantum network, bypassing conventional space-time limitations. This interconnectedness hints at a reality where space and distance are secondary to the underlying quantum field.
Relativity
Relativity theory showed us that space and time are not fixed but change relative to observers. Space can bend, and time can dilate in the presence of gravity or when objects move at high speeds. While relativity has been confirmed by countless experiments, it’s strange to think that the universe behaves differently based on one’s perspective.
Quantum Realism suggests that space and time are not absolute but are generated by the quantum processing field. Just as the graphics in a video game adapt based on the player’s position, space and time could be adaptive constructs within a quantum framework. This may explain why the speed of light remains constant—it is set by the quantum processing rate itself, a baseline speed at which the universe updates information.
These strange phenomena—wave-particle duality, entanglement, and relativity—indicate that the universe might not behave like a solid, physical machine. Instead, they hint at a more flexible, information-based structure that could be explained by Quantum Realism.
1.3 The Quantum Reality Hypothesis
Quantum Realism takes these observations as signs that the universe is fundamentally informational, generated by an underlying quantum network field. In this view, the physical world is comparable to a highly realistic simulation, where particles, forces, and fields are simply outputs of quantum processing nodes.
The Quantum Field Network
Imagine a vast quantum network that operates similarly to a network of computers but on a much larger and more complex scale. Each “node” in this network processes quantum information, which collectively forms the reality we experience. When we observe something—a particle, a photon, a galaxy—we are perceiving the output of these quantum nodes.
In a virtual reality game, pixels on the screen are not actual objects but representations processed by the computer. Similarly, in Quantum Realism, particles and forces are not fundamental but are “pixels” created by the quantum field. They only appear when observed, just as video game elements only render when players look at them.
Simulating Reality
This concept may sound abstract, but consider how similar it is to what we already do with technology. In a video game, characters move through space, experience time, and interact with objects. However, none of these elements exist independently—they are all generated by a processor. If Quantum Realism is correct, then our universe could be a sophisticated version of this same principle. Space, time, and matter are not primary; they are outputs of the quantum network processing information in real-time.
Quantum Realism doesn’t claim our universe is a computer simulation in the conventional sense but that its processes are similar to how information is rendered in digital systems. In other words, the universe is not made of things but of interactions within a quantum field network, manifesting as things when observed.
1.4 Quantum Realism vs. Physical Realism
So why consider Quantum Realism as a serious alternative to Physical Realism? Here’s a side-by-side comparison:
- Physical Realism: Physical realism has been immensely successful, especially when applied to technology and engineering. However, it faces challenges in explaining phenomena like the observer effect in quantum mechanics, the existence of entanglement, and the constancy of the speed of light across different frames of reference.
- Quantum Realism: QR proposes a comprehensive framework that explains these anomalies by suggesting that physical reality is not fundamental. QR can account for the observer effect by proposing that physical objects and events only “exist” when rendered by the quantum network. This explains why the presence or absence of an observer can change experimental outcomes. It also provides a framework where space, time, and forces emerge from a single, unified quantum field rather than from separate entities.
Quantum Realism not only preserves the observations of physical science but extends beyond them, offering a view of reality where physical phenomena are the results of an ongoing process of information generation and processing.
1.5 Embracing a New Perspective
Quantum Realism invites us to question what we know about existence, challenging us to look at the world not as a solid, unchanging structure but as a dynamic, informational field constantly being rendered by an unseen quantum field network. This framework doesn’t negate the laws of physics but instead offers a deeper layer of understanding, where physical laws are expressions of an underlying quantum reality.
Let’s continue this journey into Quantum Reality, where each layer we peel back reveals a universe stranger than we can imagine, but one that may hold the answers to some of the most profound questions about existence.
Chapter 2: Space and Time
2.1 Introduction to Space and Time as Quantum Processes
- Objective: This chapter explores how Quantum Realism reinterprets space and time as emergent properties of a deeper, quantum information field. By understanding this foundation, we’ll see how Quantum Realism explains phenomena like time dilation, the constancy of the speed of light, and more. In physical realism, space is a vast, empty container in which objects move, and time is a river flowing steadily in one direction. Quantum Realism, however, posits that both space and time are not independent entities but are generated by the quantum processing field. Imagine space as a grid of quantum “nodes,” each one processing information and creating what we perceive as empty space. In this view, time isn’t a continuous flow but a series of quantum processing cycles. Each cycle, like a frame in a movie, advances the state of reality. This shift in perspective allows Quantum Realism to explain why space and time exhibit strange behaviors under certain conditions, as they’re not absolute entities but flexible outputs of an underlying process.
2.2 Quantum Network as the Basis of Space and Time
The Quantum Network Concept
- In Quantum Realism, the universe is built upon a vast quantum network of processing nodes, much like points on a grid. Each of these nodes represents a point in space, and they’re interconnected, sharing information. When these nodes interact, they create the fabric of space itself.
- Each node isn’t a physical object but a processing unit that performs computations. These computations don’t take place in conventional physical space; rather, they exist as part of the “quantum field” that underlies all of reality. Space, then, is simply what we perceive when we observe the output of these processing nodes.
Time as Quantum Processing Cycles
- Time, within this framework, is defined by the completion of quantum processing cycles. Just as a computer processor can only advance a video game scene once it completes certain calculations, the progression of reality is measured in these quantum cycles.
- This framework offers an explanation for time dilation—the phenomenon where time slows down near massive objects or at high speeds. In Quantum Realism, time dilation occurs because the quantum processing cycles that generate time slow down under these conditions. This is why time moves more slowly near black holes or at relativistic speeds: the quantum processing field itself is affected by gravity and velocity.
2.3 How Quantum Realism Explains the Nature of Space and Time
Space as a Processing Output
- Quantum Realism suggests that space is essentially the null state of a quantum node—it represents “nothing” in terms of physical matter but still requires processing to maintain its existence. This aligns with how we perceive empty space: it appears devoid of substance, yet it can bend, curve, and warp under the influence of gravity. These “bends” are, in this view, alterations in the structure of the underlying quantum nodes.
- In a similar way, consider how video game landscapes are rendered: they only exist when processed by the game’s engine, and if the processing parameters change, the virtual environment changes accordingly. In our universe, alterations in space (such as gravitational curvature) reflect changes in the way the quantum network processes that part of the universe.
The Constant Speed of Light
- In physical realism, the constancy of the speed of light is an unexplained given. Quantum Realism, however, proposes that this speed reflects the baseline processing rate of the quantum network. No matter where one is in the universe, light moves at the same speed because it is not a physical particle traversing a distance but a quantum process that propagates through the nodes of the network at a fixed rate.
- This helps explain why light’s speed remains consistent even if one is moving rapidly or is near a massive object. The nodes of the quantum network adapt their processing rates based on gravitational influence or velocity, but the fundamental processing speed for light remains the same.
2.4 Relativity and the Quantum Processing Field
- Gravitational Time Dilation: In a gravity well, such as near a black hole, the quantum network nodes process information more slowly. This causes time to appear to “stretch” because the quantum cycles that create time are delayed. From this viewpoint, gravitational time dilation is not a mysterious feature of the cosmos but a natural consequence of the quantum network’s processing behavior under intense load.
- Curved Space: General relativity tells us that massive objects cause space to curve. In Quantum Realism, this can be explained by saying that massive objects affect the underlying quantum nodes, which adjust their positions relative to each other in processing terms. This shift creates the experience of curved space, not because space is a physical medium that can be bent but because the network nodes alter their interaction patterns. This is why objects in a gravity well follow curved paths: they are simply following the structure laid out by the processing field, a gradient.
2.5 Space, Time, and Reality as We Know It
- Quantum Realism offers a unified explanation for space and time as dynamic, information-based constructs rather than fixed, unchanging absolutes. This prepares us to explore the role of light and matter within this framework in the next chapter. The Quantum Realism perspective redefines how we think about space and time. In this framework, they are not fundamental entities but emergent properties of an information field that constitutes our reality. Quantum Realism offers a way to explain the peculiarities of relativity as products of a flexible, adaptive network rather than as quirks of an otherwise rigid physical universe.
Chapter 3: The Light of Existence
3.1 Introduction to Light in Quantum Reality
- This chapter examines the unique role of light in Quantum Realism. We’ll explore how Quantum Realism explains light’s properties—its constancy, wave-particle duality, and more—through the framework of quantum information processing. Throughout history, light has held a special place in our understanding of the universe. In many ancient cultures, light was considered the essence of life, illuminating the world around us and making existence possible. Scientifically, light behaves unlike any other phenomenon, exhibiting both wave and particle characteristics, a constant speed, and an ability to traverse vast distances without fading. In Quantum Realism, light is not simply an electromagnetic wave or a particle but a fundamental manifestation of the quantum network’s information-processing capabilities. This approach suggests that light’s peculiar behaviors make sense when we see it as an effect within an information-driven reality.
3.2 The Mysterious Nature of Light
Constant Speed
- Light, unlike any other wave or particle, travels at a constant speed regardless of the observer’s motion. In classical physics, the speed of a wave depends on the medium through which it moves, yet light requires no medium and remains consistent at roughly 299,792 kilometers per second.
- In Quantum Realism, this constancy is explained by the processing rate of the quantum network itself. The speed of light is the “clock rate” of the network, meaning that as quantum nodes update, they propagate light at a fixed rate across the entire system. This is why the speed of light remains unchanged, irrespective of how the observer moves: it reflects the baseline rate at which reality updates, rather than a property of any physical medium.
Wave-Particle Duality
- One of the most famous experiments in physics, Young’s double-slit experiment, demonstrated light’s wave-particle duality. When light passes through two slits, it creates an interference pattern on a screen behind them, as if it were a wave. But if detectors are placed at the slits to observe which path the photons take, the interference pattern disappears, and the photons hit the screen in two distinct clusters, behaving as particles.
- Quantum Realism interprets this duality as an artifact of the underlying quantum processing. When unobserved, photons exist in a superposition state within the quantum field, allowing them to interfere like waves. However, when observed, the network “renders” them as particles, showing only one outcome. This is not because photons are inherently both particles and waves but because the quantum network can process them in multiple potential states until observation forces a specific outcome.
No Need for a Medium
- Traditionally, waves require a medium, like water for ocean waves or air for sound waves. Light, however, travels through the vacuum of space without any physical medium. This behavior puzzled scientists for centuries until Quantum Realism proposed that light’s movement is a result of quantum interactions within the quantum field itself, rather than the traversal of a particle or wave through space.
- Since space in Quantum Realism is itself a construct of the quantum field, light’s ability to move without a medium reflects its role as a direct output of this field. In a sense, light is a ripple in the field’s processing, not a physical wave that must traverse a pre-existing medium.
3.3 Light as an Expression of Quantum Processing
Photons as Quantum Processing Events
- In Quantum Realism, photons are not physical particles traveling through space but are quantum processing events. Each photon is an outcome of quantum processing that creates the appearance of light traveling from one place to another. This perspective suggests that light’s properties—constant speed, wave-particle duality, and apparent path selection—arise from the way the quantum field processes information.
- When a photon moves, the quantum nodes process its information sequentially, creating the experience of continuous motion. Thus, light is essentially a chain of processing events in the network, rather than an object in the traditional sense. This idea aligns with the fact that light can exhibit both localized and distributed characteristics.
Interference Patterns as Field Interactions
- The double-slit experiment’s interference pattern can be understood as a direct result of the quantum field’s processing mechanics. When photons pass through the slits unobserved, they propagate as probability waves in the field, which overlap and create interference.
- However, when we attempt to observe or measure these photons, we alter the way the network processes them. Observation “collapses” the probability distribution into a single outcome, meaning the network outputs photons as particles rather than as waves. This dual behavior suggests that light’s wave-particle nature reflects the flexible processing capabilities of the quantum network.
3.4 Light’s Role in Reality Formation
Light as the Link Between Observer and Observed
- Light, in Quantum Realism, is the primary way the quantum network conveys information from one point to another, connecting the observer to the observed. When we look at an object, we are interacting with the quantum processing events that create the photons reaching our eyes.
- This is why observation plays a key role in collapsing quantum possibilities into a specific reality. In a sense, when we observe light, we are engaging with the very fabric of reality as it is being generated. Light acts as a conduit between the network’s processing and our perception, which is why it’s integral to experiments demonstrating the observer effect. Without light, our perception of the universe would be limited to a dark, undefined field of probabilities.
Reality “Rendered” Through Light
- In a video game, graphics only render when players are looking in a specific direction. Similarly, Quantum Realism suggests that the universe renders specific phenomena when they are observed. Light carries the information needed to construct the visible aspect of reality, effectively “rendering” the physical world as it reaches our senses.
- By interpreting light this way, Quantum Realism provides a framework for understanding the observer effect as a direct interaction with the quantum network. When we observe light, we’re interacting with an informational output, helping determine the configuration of reality in that moment. This perspective redefines light as more than an electromagnetic wave—it’s an essential component in how reality is both experienced and constructed.
Chapter 4: Matter in a Quantum Framework
4.1 Introduction to Matter in Quantum Realism
- This chapter explores how Quantum Realism redefines matter, viewing it not as a collection of fundamental particles but as an emergent phenomenon arising from quantum field interactions. It offers a coherent explanation for the properties of mass, charge, and structure through dynamic quantum processes, contrasting with the particle-centric Standard Model of physics. Quantum Realism proposes that matter is essentially “frozen” light, formed when the quantum processing field collides in ways that create stable, standing wave patterns. Unlike physical realism, which posits particles as fundamental entities, Quantum Realism suggests that these entities arise from the same quantum field as light, only differing in their spatial and temporal interactions within this field .
4.2 The Standard Model and Quantum Realism
Standard Model Overview
- The Standard Model classifies particles as either fermions (matter particles) or bosons (force carriers). Fermions include quarks and leptons, which combine to form larger structures, while bosons mediate forces such as electromagnetism and the strong force.
- This model requires multiple separate fields for different forces and fundamentally distinct particles, which contradicts the goal of field unification. Quantum Realism, in contrast, proposes a single quantum field that produces both matter and forces through varying configurations of quantum processes .
Quantum Realism’s Interpretation of Particles
- Quantum Realism views particles as stable configurations of quantum processing within the field. For example, quarks and electrons are not solid entities but temporary, self-reinforcing wave patterns within the quantum field. This interpretation aligns with how quarks exhibit fractional charges and appear in configurations like protons and neutrons, stabilized through photon-sharing in the quantum field .
4.3 Matter as Standing Waves and Emergent Properties
Standing Quantum Waves
- In Quantum Realism, matter is formed when light, or high-energy photons, collides to create stable, standing wave patterns. Unlike photons, which propagate continuously, matter appears as standing waves that exist in specific regions due to balanced interference. This gives rise to mass, as the energy of these collisions is “stored” within these stable formations, a concept mirrored in particle accelerators where high-energy photon collisions produce new matter .
- For example, electrons are modeled as extreme light confined in a repeating loop, creating a standing wave. This quantum processing mode provides electrons with mass through self-reinforcing interactions within a node axis. Mass, therefore, is not an intrinsic quality but a result of repeated quantum processes that sustain the standing wave over time .
Mass as Quantum Processing Resistance
- Mass in Quantum Realism arises from the quantum network’s resistance to rapid state changes. In this framework, a particle’s mass is the total processing effort required to maintain its standing wave configuration. Higher mass particles, like protons, require more complex quantum processing cycles, thus showing greater resistance to external changes, which we perceive as inertia.
- Charge similarly emerges from quantum processing remainders. An electron’s negative charge, for example, reflects an imbalance in its processing cycles, where excess negative processing remains after each cycle. The positive and negative charges of particles like protons and electrons arise because of the specific ways their respective quantum waves interact and stabilize within the field .
4.4 Matter Formation and Anti-Matter
Formation of Matter and Anti-Matter
- According to Quantum Realism, anti-matter is matter processing in reverse, with reversed processing cycles that produce opposite charges. This reverse-processing is what differentiates anti-matter particles, like positrons, from their matter counterparts, despite their identical mass properties.
- When light collides under extreme conditions, it can generate particle pairs, as predicted by the Breit-Wheeler process. This process illustrates Quantum Realism’s principle that light alone can produce matter, as extreme light collisions give rise to electron-positron pairs that exhibit opposite charges and annihilate back into photons upon recombination.
Mass, Charge, and Quantum Process Stability
- The stability of matter configurations depends on the balance of quantum processing cycles. Protons, for instance, stabilize through photon-sharing among quarks, forming configurations that yield fractional charges. These stable states become building blocks for atomic nuclei, demonstrating how even complex structures can emerge from simpler, self-sustaining quantum processes.
4.5 Emergence and Dynamic Stability
Emergence of Complex Matter
- Quantum Realism describes matter as evolving through successive stages of emergence, where stable atomic and molecular structures result from increasingly complex interactions within the quantum field. As individual quantum processing events combine, they create configurations like atoms and molecules, which display properties not present at the individual particle level.
- Just as a standing wave pattern in a vibrating string arises from the interaction of waves, complex matter emerges from the interaction of quantum wave functions. This emergence principle explains how atomic nuclei form and why electrons adopt quantized orbits within atoms without “falling in,” as traditional physical models struggle to explain .
4.6 Testing Quantum Realism: Predictions and Implications
Experimental Predictions
- Quantum Realism predicts that light itself, under extreme conditions, can generate matter through processes like photon-photon collisions. Observational support for this concept includes experiments that detect particle formation from high-energy photon collisions, providing direct evidence for matter arising from light, as expected in Quantum Realism.
- Additionally, the framework suggests that particle masses correspond directly to the complexity of the quantum processing cycles that sustain them. This could be experimentally tested by examining particles’ stability at varying energy levels and observing changes in their mass as their internal processing patterns adapt under high-energy conditions, such as those found in particle accelerators .
Implications for Dark Matter and Energy
- Quantum Realism also provides avenues for understanding dark matter and dark energy. If the quantum field inherently produces matter as a stable state, dark matter might represent quantum processes that do not interact electromagnetically, allowing them to influence gravitational structures without direct detection. Similarly, dark energy could be the processing capacity of the quantum field itself, manifesting as a cosmic-scale expansion force, driven by the underlying processing field rather than physical particles .
4.7 The Emergent Universe of Quantum Realism
- Quantum Realism provides views on matter, suggesting that all physical entities, from particles to galaxies, are emergent phenomena rooted in a single, dynamic quantum field. In the Quantum Realism framework, the universe appears as a vast, self-organizing system where physical structures emerge from simple quantum processing principles. Matter is not a collection of indivisible particles but a tapestry of quantum waves stabilized through dynamic interactions. This redefinition provides a unified basis for understanding mass, charge, and structure as byproducts of quantum field interactions, challenging the particle-based Standard Model.
Chapter 5: Consciousness and Quantum Reality
5.1 Introduction to Consciousness in Quantum Realism
- This chapter presents a detailed exploration of how Quantum Realism interprets consciousness. We’ll delve into how consciousness might emerge from quantum processing and how this contrasts with materialist and dualist views. Quantum Realism posits that consciousness is not a byproduct of brain activity alone but an emergent property of a quantum network that underlies physical reality. Max Planck, a pioneer of quantum theory, once remarked, “I regard consciousness as fundamental. I regard matter as derivative from consciousness.” Quantum Realism builds on this idea, proposing that consciousness originates within the quantum field that generates physical reality. This suggests a neutral monism, where both consciousness and matter emerge from the same underlying quantum processes.
5.2 Quantum Realism and the Nature of Consciousness
- Objective: Define consciousness as it relates to Quantum Realism and discuss its distinction from physical brain activity. According to Quantum Realism, consciousness is defined as the capacity to observe or experience a physical event, not merely respond to stimuli as a machine might. This framework challenges materialist views that equate consciousness with brain activity, suggesting instead that what we experience as conscious awareness arises from complex interactions within the quantum field itself.
- The Observer and the Physical Universe: Quantum Realism posits that all physical events require observation to occur, aligning with the quantum mechanics principle where wave functions collapse upon observation. This means that physical reality, as we experience it, is continually shaped by the conscious observer. Each act of observation reinforces the reality we perceive by collapsing quantum possibilities into tangible events.
5.3 Consciousness as a Quantum State Function
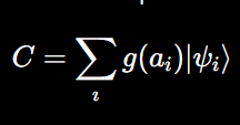
- Quantum Realism proposes a model where consciousness is defined as a summation of quantum states, influenced by their coherence and entanglement levels. Let’s denote a general quantum state by Ψ, a superposition of individual states ∣ψi⟩ within the quantum network:

where ai represents the probability amplitudes of these states. In this framework, consciousness C emerges from the coherence and entanglement of these quantum states. This can be expressed as:
Here, g(ai) serves as a coherence function that modulates the contribution of each quantum state to the overall conscious experience, based on factors such as coherence and entanglement. The coherence function amplifies states that are more aligned (coherent) or strongly entangled, thus more integral to conscious processing .
5.4 The Role of Coherence and Entanglement in Consciousness
- Coherence: In Quantum Realism, coherence refers to the alignment of quantum states. When states are coherent, they reinforce each other, generating a stable experience of consciousness. For example, when the phases of different quantum states align, they create a unified “signal” that can be perceived as a conscious experience. Without sufficient coherence, individual states would interfere destructively, preventing the emergence of consciousness.
- Entanglement: Entanglement is crucial in connecting different parts of the quantum network, allowing for instantaneous information sharing across the system. This property creates a unified conscious experience by linking various quantum states so that they act as a cohesive whole. Consciousness is proposed to arise when a threshold of coherence and entanglement is achieved, reaching a level where the quantum network stabilizes into a conscious state. This model suggests that entanglement allows different “nodes” of the quantum field to contribute simultaneously to a single, integrated experience.
5.5 The Consciousness Equation
- A more technical version of the consciousness equation, incorporating the differential processing capacity of the quantum network. Quantum Realism suggests that consciousness can be represented as an integral over the network’s processing capacity, Λ, which quantifies the maximum processing bandwidth of the quantum system. Here’s a refined equation:

In this integral, dΛ represents an infinitesimal element of the network’s processing capacity, enabling the summation to occur incrementally across all nodes. This integration implies that consciousness is a global property, arising from the cumulative contributions of various quantum states as they process information over time. The term i within this summation reflects the importance of phase relationships, as the imaginary unit i = sqrt{-1} highlights that consciousness is tied to phase coherence among quantum states. This means that not only the magnitude but the phase alignment of states contributes to the emergence of consciousness.
5.6 Consciousness and the Observer Effect
- Consciousness influences the quantum state directly, bridging the observer effect with quantum processing. Quantum Realism posits that consciousness could influence the quantum system by actively participating in state selection. When a conscious observer interacts with a superposition Ψ, it causes a collapse function that biases the outcome. This can be expressed as a probability function conditioned by consciousness C:

where ⟨C∣ψi⟩ is the inner product between the conscious state C and each possible quantum state ∣ψi⟩. This function suggests that the conscious observer may influence the outcome probabilities based on the alignment with its own state, implying that consciousness can select among quantum possibilities by collapsing the wave function in a way that reflects its unique configuration.
5.7 Quantum Realism and Consciousness Beyond the Physical Body
- Consciousness might persist beyond the physical body, supported by the quantum network. In Quantum Realism, consciousness is not confined to the brain. Instead, the brain serves as an interface for the quantum network, allowing consciousness to interact with the physical world. Upon death, the link to the physical form is severed, but consciousness remains part of the quantum field. This perspective aligns with theories that consciousness may persist within the quantum network, as it is inherently non-physical and embedded in the underlying field.
- Consciousness as a Quantum Continuum: Following death, individual consciousness could potentially “reintegrate” with the broader quantum field, continuing in a non-physical form. This is not necessarily reincarnation but rather a continuation of the conscious state within the information framework of the quantum network. Thus, individual experiences may persist in some form, even as they are no longer bound to a single physical body.
Chapter 6: The Consciousness Equation and Quantum Processing
6.1 Introduction to the Consciousness Equation in Quantum Realism
Quantum Realism postulates that consciousness is not just a byproduct of brain activity but an emergent property arising from complex interactions within the quantum field network. This approach frames consciousness as an aggregate of quantum states, with each state contributing to a unified conscious experience based on the coherence and entanglement within the field. The Consciousness Equation is intended to formalize this relationship, providing a quantitative framework to describe how quantum interactions culminate in conscious awareness.
6.2 Formulating the Consciousness Equation
In Quantum Realism, the foundational aspect of consciousness is represented by a wave function, Ψ, which exists as a superposition of multiple quantum states. This can be expressed as:
where ai are probability amplitudes, and ∣ψi⟩ are the individual quantum states that contribute to the overall wave function. Here, Ψ captures the potential conscious state as a sum of these individual components.
Consciousness C is proposed to emerge from this wave function by filtering through a coherence function g(ai), which amplifies the contributions of coherent and entangled states. The consciousness equation can thus be modeled as:
where g(ai) is a function that increases in value with higher coherence and entanglement among the states. This formulation implies that states with higher degrees of alignment (coherence) and interdependence (entanglement) contribute more substantially to the conscious experience.
- g(ai): This is a function that determines how much a particular quantum state ai contributes to the overall conscious experience. It represents the “activation” of a quantum state in the context of consciousness, based on certain conditions.
- eαi: The exponential term αi is a scaling factor. It can enhance or diminish the contribution of each quantum state depending on its strength. The exponential nature of this term means that small changes in αi result in exponential changes in the state’s contribution, making coherent and entangled states exponentially more influential.
- Coherence: Coherence refers to the alignment of quantum states. For example, in the brain, if many quantum states are aligned or in phase, this could lead to a stronger, unified conscious experience. Coherence can be understood as the synchronization of these quantum states, allowing them to work together to contribute to consciousness.
- Entanglement: Entanglement means that quantum states are interconnected, such that the state of one cannot be described independently of the others. In the context of consciousness, entangled states may imply that distant or non-local quantum states are sharing information, reinforcing their impact on awareness.
Example in Action
Let’s say you are trying to describe a conscious moment. Imagine three different quantum states a1, a2, a3 exist, each contributing to your awareness. Their contribution will depend on both how coherent (aligned) they are and whether they are entangled with other states.
If a1 has a higher α1, indicating strong coherence and entanglement, the exponential term eαi will boost its impact on consciousness. The more aligned the states (higher coherence) and more interconnected (higher entanglement), the more impactful they are. States with weaker coherence or no entanglement will have minimal influence, as their αi would be lower, and their exponential scaling would be less significant.
Thus, in quantum realism, this equation suggests that conscious experience is heavily influenced by quantum states that exhibit strong coherence and entanglement, making these states exponentially more powerful in creating conscious awareness.
6.3 Integrating Over Processing Capacity: The Full Consciousness Equation
Quantum Realism proposes that the network’s total processing capacity Λ represents the maximum quantum processing bandwidth available to support consciousness. By integrating across Λ, we can model consciousness as a continuous, emergent phenomenon resulting from incremental quantum processes. Thus, the Consciousness Equation can be extended as follows:
This integral suggests that consciousness arises from the accumulation of processing events distributed across the quantum network. Each infinitesimal element dΛ represents a unit of processing capacity, indicating that consciousness is the sum of these contributions as they unfold over time. The use of the imaginary unit i within quantum terms reflects the phase relationships essential to coherence, emphasizing that both the magnitude and phase of quantum states play a role in the manifestation of consciousness.
6.4 Consciousness and the Observer Effect: A Participatory Role
In Quantum Realism, consciousness is seen as an active participant in the evolution of quantum states, not merely an observer. When consciousness interacts with a quantum state, it affects the probabilities associated with various outcomes, facilitating wave function collapse. This interaction can be represented as a conditional probability function:
Here, ⟨C∣ψi⟩ denotes the inner product between the conscious state C and each possible quantum state ∣ψi⟩, indicating that the probability of a particular quantum outcome is influenced by the degree to which it aligns with the conscious state. This formulation highlights that consciousness can select or bias specific outcomes based on coherence, aligning the emergent reality with the observer’s conscious state.
6.5 Consciousness within a Modified Schrödinger Equation Framework
To further incorporate consciousness into the mechanics of Quantum Realism, Schrödinger’s Equation can be modified to reflect consciousness as a dynamic component. This modified equation would describe the time evolution of a wave function that is conditioned by conscious interaction:
In this equation:
- V(x, t, C) represents a potential that now depends on both spatial and conscious parameters, indicating that the conscious state affects the potential energy landscape of the quantum field.
- Pq(x, t, C) is a term representing the processing load associated with consciousness, reflecting the impact of conscious observation on the rate at which quantum states evolve. The presence of this term suggests that higher conscious engagement may accelerate state collapses, implying that consciousness exerts an influence on the quantum field’s processing dynamics.
6.6 Consciousness and Quantum Processing Feedback
Quantum Realism posits that consciousness and the quantum state Ψ are interdependent, with consciousness acting as both an output and an input in the quantum processing loop. As consciousness influences the evolution of quantum states, these evolving states in turn modify the coherence and entanglement properties that contribute to the conscious state. This feedback loop implies a co-creative relationship between the observer and observed, where consciousness is both shaped by and shapes the quantum field.
This dynamic reinforces Quantum Realism’s perspective that consciousness is intrinsic to quantum state evolution, functioning as an active agent within the field. Rather than passively observing, consciousness is engaged in a reciprocal interaction with the quantum network, continually contributing to reality formation through its role in wave function collapse and coherence-driven selection.
6.7 Implications of the Consciousness Equation in Quantum Realism
In Quantum Realism, consciousness emerges from the interactions of coherent and entangled quantum states, sustained by the processing capacity of the quantum field. The Consciousness Equation frames awareness as an intrinsic part of quantum evolution, integrating coherence, entanglement, and processing power to position consciousness as a fundamental element of reality itself. This framework redefines consciousness as not just an observer of physical events but a participant in their formation, underscoring a view of reality where the conscious mind and physical states are inseparable.
Chapter 7: Experimental Validation of the Consciousness Equation and Quantum Realism
7.1 Introduction to Empirical Testing in Quantum Realism
Quantum Realism, which posits that consciousness directly influences quantum events, introduces several opportunities for experimental validation. These experiments can determine whether conscious observation affects quantum states in ways beyond standard quantum mechanics, thereby providing empirical support for the Consciousness Equation.
7.2 Experimental Predictions of Quantum Realism
The Consciousness Equation suggests that consciousness C interacts with quantum states through coherence and entanglement, influencing outcomes. Experiments that can isolate the effects of conscious observation on quantum systems are necessary to validate this interaction. Quantum Realism’s predictions include:
- Effect on Interference Patterns: Conscious observation should influence wavefunction collapse in the double-slit experiment, leading to detectable changes in interference.
- Influence on Quantum Entanglement: Variations in mental states, such as high coherence during focused meditation, could affect the behavior of entangled particles.
- Modification of Quantum Zeno Effect: Active conscious observation might alter decay rates by stabilizing quantum states against transition.
7.3 Double-Slit Experiment with Conscious Observation
In this setup, particles are directed through a double-slit apparatus under three conditions:
- No Observation: No one observes the experiment, and the particles display the standard interference pattern.
- Indirect Observation: A recording device captures the experiment without anyone reviewing the data live.
- Conscious Observation: A conscious observer focuses on the particle paths during the experiment.
- Expected Outcome: If the Consciousness Equation is valid, the interference pattern should vary significantly between the unobserved and consciously observed trials. For instance, conscious observation might cause an earlier or more pronounced collapse of the interference, reducing the pattern’s visibility compared to standard quantum mechanics predictions .
7.4 Delayed-Choice Quantum Eraser with Consciousness Variable
This experiment follows the standard delayed-choice quantum eraser model, where the measurement choice is delayed until after particles pass through the slit. It has two scenarios:
- Observer Present: A conscious observer actively watches the erasure process live.
- Observer Absent: No one observes the experiment live, and data is reviewed later.
- Expected Outcome: If consciousness is a factor, the results may reveal differences based on the presence of an observer. Specifically, if conscious observation impacts wavefunction behavior retroactively, it could alter the interference pattern relative to trials without conscious oversight .
7.5 Quantum Entanglement and Conscious Coherence
Participants in varying mental states, such as focused meditation, interact with entangled particles. Measures are taken during high-focus (meditative) and neutral mental states:
- Meditative State: EEG or MEG measures the participant’s brain coherence, and simultaneous readings of entangled particles are taken.
- Neutral State: The same participants are in a non-focused state, and measurements are repeated.
- Expected Outcome: Significant changes in the entanglement behavior could validate Quantum Realism, indicating that higher coherence states in the observer influence the quantum system. This would imply that the consciousness parameter C actively enhances quantum coherence during focused mental states.
7.6 Random Event Generator and Focused Consciousness
Participants attempt to influence a quantum-based random event generator, such as those based on electron tunneling, by focusing on producing specific outcomes. Conditions are as follows:
- Focused Condition: Participants attempt to increase the frequency of a particular output (e.g., “1”).
- Control Condition: Random outcomes are generated without conscious focus.
- Expected Outcome: If consciousness affects randomness in quantum processes, outcomes in the focused trials would deviate significantly from expected randomness. According to the Consciousness Equation, focused consciousness may influence quantum coherence, subtly biasing the generator’s results .
7.7 Quantum Zeno Effect under Conscious Observation
Using an unstable quantum state that typically exhibits the Quantum Zeno Effect, three observation scenarios are created:
- Conscious Observation: A participant actively observes the state at frequent intervals.
- Automated Observation: A computer observes at the same intervals without conscious involvement.
- No Observation: The state evolves unmonitored.
- Expected Outcome: If consciousness influences the collapse, the rate of decay should differ in the presence of a conscious observer. The hypothesis suggests that conscious awareness could increase the decay suppression effect, altering the quantum state in a manner not predicted by automated observation alone .
7.8 Field Variations in Quantum Systems during Meditative States
Place participants in high-coherence meditative states near a sensitive quantum system, such as a photon polarization setup or a Bose-Einstein condensate, under two conditions:
- High-Coherence Condition: Measurements are taken while participants meditate.
- Normal State Condition: The quantum system is measured without participants in a meditative state.
- Expected Outcome: Quantum Realism predicts that changes in coherence or field properties of the quantum system would be detected during high-coherence mental states. This outcome would suggest that consciousness, as described by parameter C, can interact with the quantum field in proximity, producing observable physical changes .
7.9 Key Considerations for Falsifiability
Each experiment must incorporate:
- Statistical Analysis: Significant deviations from expected results must be consistently observable to validate hypotheses.
- Control Groups: Trials without conscious observation serve as baselines, ensuring any observed effects result specifically from consciousness-related factors.
- Replicability: Findings must be reproducible across different laboratories and with diverse participant groups to confirm the reliability of the Consciousness Equation.
By following these standards, researchers can evaluate whether the Consciousness Equation’s predictions are consistent and reproducible. Should the data show consistent, significant deviations from classical quantum predictions, this would provide strong evidence supporting Quantum Realism’s hypotheses regarding consciousness as an active element within quantum mechanics .
7.10 Toward a New Quantum Paradigm
The outlined experiments aim to empirically test Quantum Realism’s core assertions—that consciousness directly influences quantum systems, and that the Consciousness Equation can model this influence quantitatively. Should these predictions be substantiated, the implications for both physics and philosophy are profound, potentially reframing consciousness as a fundamental component of quantum mechanics. As these tests progress, Quantum Realism may establish itself not merely as a theoretical alternative but as a transformative framework for understanding the nature of consciousness and reality.
With these experimental approaches, Quantum Realism lays the groundwork for a scientifically validated connection between consciousness and quantum states. These tests offer a pathway for further exploration and provide a new avenue for bridging the gap between conscious experience and the quantum world.
Chapter 8: Implications and Future Directions for Quantum Realism
8.1 Re-evaluating Consciousness as a Fundamental Aspect of Reality
Should the experiments proposed in Chapter 7 provide supportive data, Quantum Realism would challenge the prevailing materialistic framework by positioning consciousness as integral to the quantum fabric of reality. This approach could shift consciousness from a perceived byproduct of neural processes to a primary influence within the quantum domain. The Consciousness Equation suggests that awareness and observer effects are not anomalies but core mechanisms that impact quantum evolution. This new understanding blurs the line between observer and observed, suggesting an interactive relationship where conscious states shape, and are shaped by, quantum processes.
8.2 Philosophical and Scientific Implications of Quantum Realism
Revisiting Dualism and Monism:
- Quantum Realism could harmonize aspects of dualism and monism by proposing a model where consciousness and matter emerge from the same underlying quantum field, which is neither purely physical nor purely mental. This hybrid view supports neutral monism—a philosophy suggesting that consciousness and matter are both manifestations of a fundamental informational source, reframing the mind-body debate.
Rethinking the Nature of Reality:
- If consciousness is indeed a quantum phenomenon, then reality itself may not be objectively fixed but probabilistically influenced by conscious observation. This reframing challenges the notion of a strictly deterministic universe, suggesting instead that the physical world is a participatory experience. Matter, space, and time could be viewed as constructs emerging from quantum processing, continually modified by interactions within the quantum field.
Implications for Quantum Mechanics:
- Quantum Realism may offer explanatory power for several outstanding issues in quantum mechanics. For example, phenomena like entanglement, wavefunction collapse, and the measurement problem might be understood as instances of the Consciousness Equation in action. If conscious observation can indeed alter quantum states, then wavefunction collapse is not merely a passive response but an active, consciousness-driven process.
8.3 Expanding the Consciousness Equation
Temporal Dynamics:
- Introducing time-dependence into the Consciousness Equation could allow for dynamic modeling of consciousness. For instance, if C varies over time t as C(t), it may be possible to model how fluctuations in consciousness intensity influence quantum state evolution moment-to-moment. A time-dependent Consciousness Equation could be used to explore phenomena such as attentional shifts, changes in awareness, and the effects of sustained focus on quantum outcomes.
Neural Correlates and Quantum States:
- Although Quantum Realism posits that consciousness is non-local and not solely tied to brain activity, an extended equation could integrate brain-based parameters to explore how neural activity and quantum states might interact. Parameters representing neural coherence or electromagnetic fields from brain activity could be incorporated, creating a model that connects specific brain states with particular quantum states.
Nonlinear Consciousness Effects:
- Adding nonlinearity to the Consciousness Equation may better capture complex conscious experiences such as emotional intensity, memory, and the effects of altered states of consciousness. A nonlinear model could suggest that certain high-energy conscious states have disproportionately larger effects on the quantum field, perhaps explaining anecdotal phenomena like remote perception or spontaneous insight.
8.4 Potential Technological and Practical Applications
Quantum-Informed Biofeedback Systems:
- By integrating Quantum Realism into biofeedback technology, we could develop devices that allow users to interact with quantum systems directly. Such systems could be used for training individuals to achieve high coherence mental states, potentially influencing quantum devices in controlled ways. Applications could range from therapeutic tools to entertainment and gaming, leveraging the direct interaction between consciousness and quantum states.
Consciousness-Based Computing:
- If consciousness affects quantum processes, new forms of computing could be developed that are sensitive to conscious states. These quantum computing systems could leverage user focus or intention as input parameters, enabling unprecedented interactive capabilities where the mental state of the user alters computational outcomes. Such technologies could be pivotal in fields requiring high levels of focus, such as cognitive training, augmented reality, and user-adaptive AI.
Extended Reality (XR) and Quantum Simulation:
- Virtual and augmented reality platforms could incorporate elements of Quantum Realism, simulating environments that respond to user consciousness. XR systems could create experiences where virtual environments dynamically shift based on users’ mental states, merging quantum principles with immersive technology. This would provide unique, responsive experiences for applications in education, training, and therapy, adapting in real-time to the user’s conscious engagement.
8.5 The Future of Quantum Realism Research
The potential validation of Quantum Realism and the Consciousness Equation invites further interdisciplinary research, particularly collaborations between quantum physicists, neuroscientists, and cognitive scientists. Future research could focus on:
- Enhanced Quantum Measurement Techniques: Developing new tools to detect subtle changes in quantum states due to conscious observation, refining experimental setups for increased sensitivity.
- Theoretical Refinements: Refining the Consciousness Equation to accommodate varying states of awareness, emotion, and perception, possibly by expanding the model to incorporate additional variables tied to conscious experience.
- Cross-Disciplinary Studies: Conducting experiments that involve both cognitive measures and quantum observations, examining if and how different types of conscious experiences (e.g., mindfulness, altered states) interact with the quantum field.
By expanding Quantum Realism, researchers can continue to explore the boundaries of consciousness and its role in shaping reality, advancing our understanding of both physics and the nature of awareness.
8.6 Toward a Conscious Universe
Quantum Realism provides a model where consciousness is woven into the fabric of the universe, challenging the traditional view of an objective, independent reality. As experimental and theoretical work continues, this framework has the potential to redefine our understanding of existence, bridging the gap between mind and matter. By positioning consciousness as an active participant in quantum processes, Quantum Realism suggests a universe that is inherently interactive, participatory, and conscious—a view that redefines the essence of reality itself.
Should the ideas in Quantum Realism hold up under experimental scrutiny, they offer not only a profound paradigm shift but also practical advancements in technology and science, where consciousness is acknowledged as both a fundamental component of the cosmos and a catalyst for shaping it.
Closing Statement for the Quantum Reality & Consciousness Series
As we conclude this exploration of Quantum Realism, we find ourselves at the intersection of science and philosophy, facing a universe that is far stranger and more profound than we may have imagined. The Quantum Reality framework offers a paradigm in which the physical world is not a rigid, independent structure but an emergent, information-driven field shaped by quantum processing—and crucially, influenced by consciousness itself.
Quantum Realism challenges our traditional views, suggesting that consciousness is more than a byproduct of brain activity; it is a fundamental component woven into the fabric of the cosmos. From the smallest particles to the vast reaches of space, reality appears not as a fixed backdrop but as a dynamic, participatory experience. If the experiments we’ve proposed validate Quantum Realism’s predictions, they could forever alter our understanding of existence, blurring the line between observer and observed, between mind and matter.
As we move forward, Quantum Realism invites us to rethink our place in the universe—not as passive witnesses to a mechanical world, but as active participants in the creation of reality. The journey into Quantum Realism does not end here; it is an open path, one that encourages us to explore, to question, and to embrace the possibility that consciousness and reality are not separate but are deeply and fundamentally connected.
The mystery of consciousness, the nature of reality, and the unity of all existence remain some of the most profound questions humanity has ever pondered. Quantum Realism offers a compelling lens through which to view these questions, one that bridges the physical with the experiential, the measurable with the profound. In a universe where consciousness plays an active role, the journey of discovery is as much about our inner world as it is about the cosmos.
Addendum
8.3.1 Temporal Dynamics in the Consciousness Equation
One area for advancing the Consciousness Equation is incorporating time-dependence, allowing the equation to account for the dynamic nature of consciousness. Consciousness fluctuates in intensity, coherence, and focus over time. By making the equation time-dependent, we can model how these fluctuations impact quantum states and their collapse into reality.
The original form of the Consciousness Equation, C, represents consciousness as an integral over the quantum network’s processing capacity. We can extend this by incorporating a time-dependent variable:

Where:
- C(t) represents consciousness at a given time t,
- Λ(t) is the processing capacity at time t,
- g(ai, t) is the coherence function for state i at time t,
- ∣ψi(t)⟩ is the quantum state i evolving over time.
By introducing this time variable, we model consciousness as a dynamic entity that evolves along with the quantum states it influences. As the coherence of states shifts over time (such as during focused meditation or heightened awareness), the conscious experience also changes, modifying how reality is shaped in real-time.
Example: Consciousness During Focused Attention
Consider an individual engaged in a focused task, such as deep meditation, which increases coherence in brain activity. We can model this as a time-dependent increase in the coherence function g(ai, t), leading to a greater influence of consciousness on the quantum network.
During such a period, the coherence function might evolve as:

Where g0 is the initial coherence, and β is a parameter that increases with the intensity of focus over time. As t increases, the contribution of coherent states to consciousness grows exponentially. This means that prolonged focus could amplify the quantum states aligned with the observer’s mental state.
In practical terms, this predicts that during periods of high mental focus, such as in meditation or during flow states, consciousness might exert greater control over quantum systems, potentially stabilizing them against collapse (i.e., enhancing the Quantum Zeno Effect). This could be tested experimentally by measuring differences in quantum decay rates under high-coherence mental states versus neutral states.
8.3.2 Incorporating Neural Correlates into the Consciousness Equation
While Quantum Realism posits that consciousness emerges from the quantum field, the brain still plays a significant role as the interface between the quantum and physical worlds. To extend the Consciousness Equation, we can incorporate brain-related parameters, linking neural coherence to quantum coherence. This model helps bridge neuroscience and quantum physics by connecting measurable brain activity with quantum state behavior.
Consider that brain activity, particularly high-coherence gamma brain-wave oscillations, has been linked to focused attention and conscious awareness. We can introduce a parameter N(t), which represents neural coherence at time t, into the Consciousness Equation:

Where N(t) is a time-dependent measure of neural coherence, derived from brain activity (such as gamma oscillations or EEG patterns). By coupling the coherence of neural networks with quantum states, this model suggests that changes in brain coherence can directly modulate the influence of consciousness on quantum states.
Example: Consciousness in Meditative States
During meditation, high neural coherence (measured as an increase in synchronized gamma activity) could be reflected in an increased coherence function g(ai, N(t), t). If brain coherence rises, quantum coherence would rise as well, amplifying the overall effect of consciousness on the quantum field.
For example, g(ai, N(t), t) could take the form:

Where γ is a scaling factor that modulates the influence of neural coherence on quantum coherence. Higher neural coherence N(t) increases g(ai), which amplifies the effect of those states on the conscious experience. This predicts a direct link between brain activity and quantum state stability, suggesting that states of high focus or coherence (like in meditation) might actually stabilize quantum states against decoherence.
8.3.3 Nonlinear Consciousness Effects
A possible extension to the Consciousness Equation is the introduction of nonlinearity, particularly to model complex conscious experiences such as heightened emotional states, memory recall, or altered states of consciousness. In this context, nonlinear terms can capture the disproportionate influence that intense conscious states may have on quantum systems.
The Consciousness Equation could be expanded as:

Where f(g(ai, t)) is a nonlinear function that amplifies the effect of extreme coherence or entanglement. For instance:

This nonlinear function grows quickly as g(ai, t) increases, meaning that once coherence and entanglement reach a threshold, their effect on consciousness (and hence on quantum state collapse) increases disproportionately. This could model phenomena where strong conscious states, such as peak experiences or moments of sudden clarity, seem to have a greater impact on the environment than ordinary states of awareness.
Example: Enhanced Consciousness During Emotional Intensity
When a person experiences an intense emotional state (e.g., love, fear, or awe), neural coherence and subjective experience are often amplified. In this nonlinear model, the coherence function g(ai, t) might cross a critical threshold, leading to a rapid and intense effect on the quantum field. This could explain why certain moments of heightened awareness seem to influence outcomes more powerfully, aligning with anecdotal reports of spontaneous insights, peak experiences, or altered states of reality perception.
Mathematically, as g(ai, t) crosses a critical value, the nonlinear function f(g(ai, t)) amplifies its effect, leading to a greater influence of consciousness on quantum states. This is particularly relevant for understanding how different levels of conscious intensity could impact the quantum system’s evolution.
8.4 Potential Technological and Practical Applications
8.4.1 Quantum-Informed Biofeedback Systems
With the Consciousness Equation linking mental states to quantum processes, biofeedback systems can be designed to provide real-time feedback on how one’s focus or meditation influences quantum systems. These systems could be particularly useful for training individuals to achieve specific states of consciousness that modulate quantum outcomes, potentially improving cognitive and emotional health.
Example: Quantum Biofeedback for Cognitive Enhancement
A biofeedback system could include a quantum random event generator (QREG) that responds to the user’s focus. Sensors would track the user’s neural activity (using EEG), feeding this data into the biofeedback loop. The QREG output could vary based on the user’s mental state, and the system could provide immediate feedback, helping users refine their focus to achieve the desired outcome.
Mathematically, the biofeedback system could track the coherence function g(ai, t), offering feedback when coherence reaches optimal levels, thereby maximizing the influence of consciousness on the quantum random event generator. Over time, users could learn to fine-tune their focus, potentially leading to enhanced cognitive performance and emotional regulation.
8.4.2 Consciousness-Based Quantum Computing
Quantum computers could be designed to incorporate the Consciousness Equation as a fundamental part of their operation. In such a system, a user’s conscious focus or mental state could directly influence quantum bits (qubits), modulating their coherence and entanglement to achieve specific outcomes.
Example: Adaptive Quantum Computing with Conscious Input
In this model, qubits would be entangled with parameters linked to the user’s mental state, such as coherence measured by EEG or other brainwave patterns. The Consciousness Equation would then adjust the quantum computation based on the user’s focus. For instance, qubits could be designed to remain in superposition longer or collapse faster based on the user’s conscious input, allowing for more personalized and interactive quantum computations.
Mathematically, this system could extend the Consciousness Equation to include direct input into quantum gates, with g(ai, N(t), t) modulating qubit evolution. Such a system would represent a novel integration of human consciousness into the realm of quantum computation, opening the door to new, adaptive forms of quantum technology.
8.4.3 Quantum-Informed Virtual Reality (VR) and Augmented Reality (AR) Systems
Virtual and augmented reality systems can be designed to respond to user consciousness, modifying the virtual environment based on real-time measurements of mental and emotional states. Quantum Realism’s principles would enable these environments to dynamically shift based on the user’s focus and coherence, creating truly immersive experiences where reality adapts to consciousness.
Example: Adaptive VR Simulations Using Quantum Realism
A VR environment could be built where objects, landscapes, and interactions within the simulation respond to the user’s mental focus. For instance, if the user maintains a high state of coherence, the virtual world might become more vivid, stable, or even change in complexity, reflecting the heightened mental state. Alternatively, moments of distraction or dissonance could cause the environment to destabilize or fade.
This would require a system that tracks coherence and entanglement as inputs into the simulation engine, with the Consciousness Equation providing feedback on the user’s mental state. As neural coherence rises or falls, the simulation could adapt, reflecting the user’s conscious engagement in real-time.
8.5 Future Research Directions for Quantum Realism
Future research into Quantum Realism could take several paths, each aimed at refining the Consciousness Equation and exploring its broader implications. These include:
- Refining Quantum Measurement Techniques: New tools could be developed to detect subtle changes in quantum states due to conscious observation. These might include ultra-sensitive quantum sensors designed to detect coherence or entanglement shifts correlated with human mental states.
- Integrating Neuroscience and Quantum Physics: Further studies could explore the interface between brain coherence and quantum coherence, examining how brainwave patterns might influence entangled particles or quantum superpositions. Cross-disciplinary research involving both cognitive science and quantum mechanics could provide deeper insights into the mind’s interaction with reality.
- Expanding the Consciousness Equation: Theoretical work could focus on incorporating additional parameters—such as emotional states, memory, and attention—into the equation, modeling complex conscious experiences as nonlinear influences on quantum systems.







Leave a comment